Сьогодні, 1 квітня, на Рівненщину доставили чергову партію вакцини проти коронавірусу "Moderna" в кількості 6 000 доз.
Також в наявності є:
21 158 доз Коронавак (Китай);
42 144 дози Комірнаті (Pfizer) (Бельгія).
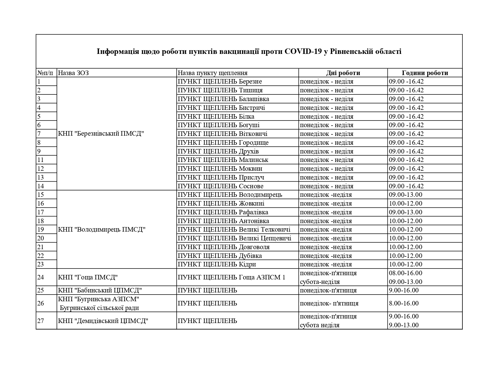
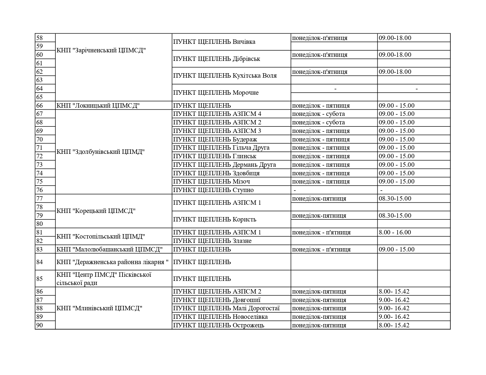
"Наразі в області працюють 156 пунктів вакцинації на базі закладів охорони здоров’я первинної ланки, в кожному з них вакцина наявна, - пояснив перший заступник начальника Рівненської ОВА Сергій Подолін. – А ось тимчасові пункти вакцинації в торгових центрах і супермаркетах наразі не функціонують".
За весь час у Рівненській області COVID-19 підтвердили 175 284 випадки захворюванняна на COVID-19. Померли 2 574 людини.
Тож всіх охочих, які ще не отримали свою дозу захисту, закликають вакцинуватись.
Тимчасово переміщені особи також можуть отримати щеплення COVID-19 в найближчих пунктах щеплення:
_pages-to-jpg-0001.jpg)
_pages-to-jpg-0002.jpg)
_pages-to-jpg-0003.jpg)
_pages-to-jpg-0004.jpg)
_pages-to-jpg-0005.jpg)
_pages-to-jpg-0006.jpg)
_pages-to-jpg-0007.jpg)
Читайте також: На Рівненщині переселенці можуть отримати медичну допомогу (ВІДЕО)